|
Zadanie 10 (0-2) - matura poziom podstawowy maj 2025, zadanie 10
|
2023
|
Rozwiąż nierówność
3(2x2+1)<11x
Zapisz obliczenia.
Źródło CKE - Arkusz egzaminacyjny 2024/2025 - Matura maj (06.05.2025) poziom podstawowy
Analiza:
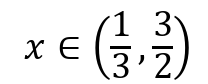
Odpowiedź:
Poziom szkoły średniej (poziom podstawowy)
Funkcja liniowa i równanie prostej
Proste, punkty, odcinki (geometria na płaszczyźnie kartezjańskiej)
Kąt wpisany i kąt środkowy w okręgu
Mediana i średnia arytmetyczna
Rachunek prawdopodobieństwa
Poziom szkoły średniej (poziom rozszerzony)
Maj 2025
Czerwiec 2025
Sierpień 2025
Maj 2025
Zadanie z odpowiedzią - bez analizy
Zadanie bez odpowiedzi i bez analizy
Zadanie z analizą i odpowiedzią
Czerwiec 2025
Zadanie z odpowiedzią - bez analizy
Zadanie bez odpowiedzi i bez analizy
Zadanie z analizą i odpowiedzią
Sierpień 2025
Zadanie z odpowiedzią - bez analizy
Zadanie bez odpowiedzi i bez analizy
Zadanie z analizą i odpowiedzią
Maj 2024
Zadanie z odpowiedzią - bez analizy
Zadanie z analizą i odpowiedzią
Czerwiec 2024
Zadanie z odpowiedzią - bez analizy
Zadanie bez odpowiedzi i bez analizy
Zadanie z analizą i odpowiedzią
Sierpień 2024
Zadanie z odpowiedzią - bez analizy
Zadanie bez odpowiedzi i bez analizy
Zadanie z analizą i odpowiedzią
Grudzień 2024
Zadanie z odpowiedzią - bez analizy
Zadanie bez odpowiedzi i bez analizy
Zadanie z analizą i odpowiedzią
Informator 2025
Zadanie z odpowiedzią - bez analizy
Zadanie bez odpowiedzi i bez analizy
Zadanie z analizą i odpowiedzią
Maj 2023
Zadanie z odpowiedzią - bez analizy
Zadanie z analizą i odpowiedzią
Czerwiec 2023
Zadanie z odpowiedzią - bez analizy
Zadanie z analizą i odpowiedzią
Sierpień 2023
Zadanie z odpowiedzią - bez analizy
Zadanie z analizą i odpowiedzią
Wrzesień 2022
Zadanie z odpowiedzią - bez analizy
Zadanie z analizą i odpowiedzią
Grudzień 2022
Zadanie z odpowiedzią - bez analizy
Zadanie z analizą i odpowiedzią
Maj 2022
Zadanie z odpowiedzią - bez analizy
Zadanie z analizą i odpowiedzią
Czerwiec 2022
Zadanie z odpowiedzią - bez analizy
Zadanie dowodowe bez analizy
Zadanie z analizą i odpowiedzią
Sierpień 2022
Zadanie z odpowiedzią - bez analizy
Zadanie dowodowe bez analizy
Zadanie z analizą i odpowiedzią
Marzec 2021
Zadanie z odpowiedzią - bez analizy
Zadanie z analizą i odpowiedzią
Maj 2021
Zadanie z odpowiedzią - bez analizy
Zadanie z analizą i odpowiedzią
Czerwiec 2021
Zadanie z odpowiedzią - bez analizy
Zadanie z analizą i odpowiedzią
Sierpień 2021
Zadanie z odpowiedzią - bez analizy
Zadanie z analizą i odpowiedzią
Maj 2020
Zadanie z odpowiedzią - bez analizy
Zadanie dowodowe bez analizy
Zadanie z analizą i odpowiedzią
Czerwiec 2020
Zadanie z odpowiedzią - bez analizy
Zadanie dowodowe bez analizy
Zadanie z analizą i odpowiedzią
Sierpień 2020
Zadanie z odpowiedzią - bez analizy
Zadanie dowodowe bez analizy
Zadanie z analizą i odpowiedzią
Maj 2019
Zadanie z odpowiedzią - bez analizy
Zadanie z analizą i odpowiedzią
Czerwiec 2019
Zadanie z odpowiedzią - bez analizy
Zadanie z analizą i odpowiedzią
Sierpień 2019
Zadanie z odpowiedzią - bez analizy
Zadanie dowodowe bez analizy
Zadanie z analizą i odpowiedzią
Czerwiec 2018
Zadanie z odpowiedzią - bez analizy
Zadanie dowodowe bez analizy
Zadanie z analizą i odpowiedzią
Sierpień 2018
Zadanie z odpowiedzią - bez analizy
Zadanie dowodowe bez analizy
Zadanie z analizą i odpowiedzią
Maj 2017
Zadanie z odpowiedzią - bez analizy
Zadanie z analizą i odpowiedzią
Czerwiec 2017
Zadanie z odpowiedzią - bez analizy
Zadanie dowodowe bez analizy
Zadanie z analizą i odpowiedzią
Sierpień 2017
Zadanie z odpowiedzią - bez analizy
Zadanie dowodowe bez odpowiedzi
Zadanie z analizą i odpowiedzią
Maj 2016
Zadanie z odpowiedzią - bez analizy
Zadanie z analizą i odpowiedzią
Czerwiec 2016
Zadanie z odpowiedzią - bez analizy
Zadanie dowodowe bez analizy
Zadanie z analizą i odpowiedzią
Sierpień 2016
Zadanie z odpowiedzią - bez analizy
Zadanie dowodowe bez analizy
Zadanie z analizą i odpowiedzią
Maj 2015
Zadanie z odpowiedzią - bez analizy
Zadanie z analizą i odpowiedzią
Czerwiec 2015
Zadanie z odpowiedzią - bez analizy
Zadanie dowodowe bez analizy
Zadanie bez analizy i odpowiedzi
Zadanie z analizą i odpowiedzią
Sierpień 2015
Zadanie z odpowiedzią - bez analizy
Zadanie bez analizy i odpowiedzi
Zadanie z analizą i odpowiedzią
Maj 2014
Zadanie z odpowiedzią - bez analizy
Zadanie z analizą i odpowiedzią
Czerwiec 2014
Zadanie z odpowiedzią - bez analizy
Zadanie dowodowe bez analizy
Zadanie bez analizy i odpowiedzi
Zadanie z analizą i odpowiedzią
Sierpień 2014
Zadanie z odpowiedzią - bez analizy
Zadanie bez analizy i odpowiedzi
Zadanie z analizą i odpowiedzią
Maj 2013
Zadanie z odpowiedzią - bez analizy
Zadanie z analizą i odpowiedzią
Czerwiec 2013
Zadanie z odpowiedzią - bez analizy
Zadanie dowodowe bez analizy
Zadanie bez analizy i odpowiedzi
Zadanie z analizą i odpowiedzią
Sierpień 2013
Zadanie z odpowiedzią - bez analizy
Zadanie bez analizy i odpowiedzi
Zadanie z analizą i odpowiedzią
Maj 2012
Zadanie z odpowiedzią - bez analizy
Zadanie z analizą i odpowiedzią
Czerwiec 2012
Zadanie z odpowiedzią - bez analizy
Zadanie dowodowe bez analizy
Zadanie bez analizy i odpowiedzi
Zadanie z analizą i odpowiedzią
Sierpień 2012
Zadanie z odpowiedzią - bez analizy
Zadanie bez analizy i odpowiedzi
Zadanie z analizą i odpowiedzią
Maj 2011
Zadanie dowodowe bez analizy
Zadanie z odpowiedzią - bez analizy
Zadanie z analizą i odpowiedzią
Czerwiec 2011
Zadanie z odpowiedzią - bez analizy
Zadanie dowodowe bez analizy
Zadanie bez analizy i odpowiedzi
Zadanie z analizą i odpowiedzią
Sierpień 2011
Zadanie z odpowiedzią - bez analizy
Zadanie bez analizy i odpowiedzi
Zadanie z analizą i odpowiedzią
Maj 2010
Zadanie z odpowiedzią - bez analizy
Zadanie z analizą i odpowiedzią
Czerwiec 2010
Zadanie z odpowiedzią - bez analizy
Zadanie dowodowe bez analizy
Zadanie bez analizy i odpowiedzi
Zadanie z analizą i odpowiedzią
Sierpień 2010
Zadanie z odpowiedzią - bez analizy
Zadanie bez analizy i odpowiedzi
Zadanie z analizą i odpowiedzią