Arkusz maturalny - rachunek różniczkowy

Arkusz maturalny - rachunek różniczkowy

Zestaw zadań maturalnych z lat ubiegłych posegregowanych tematycznie. Temat przewodni zestawu - rachunek różniczkowy - poziom rozszerzony


Zadania maturalne: rachunek różniczkowy

Zadanie  (0-3) - matura poziom rozszerzony czerwiec 2024, zadanie 3

2015

Funkcja f jest określona wzorem f(x)=\frac{2x+1}{x-4} dla każdej liczby rzeczywistej x≠4. W kartezjańskim układzie współrzędnych (x, y) punkt P=(x0 ,5) należy do wykresu funkcji f.

Oblicz x0 oraz wyznacz równanie stycznej do wykresu funkcji f w punkcie P.

Zapisz obliczenia.

Zadanie  (0-3) - matura poziom rozszerzony maj 2024, zadanie 4

2015

Funkcja f jest określona wzorem

f(x)=\frac{x^3-3x+2}{x}

dla każdej liczby rzeczywistej x różnej od zera. W kartezjańskim układzie współrzędnych (x, y) punkt P, o pierwszej współrzędnej równej 2, należy do wykresu funkcji f. Prosta o równaniu y=ax+b jest styczna do wykresu funkcji f w punkcie P.

Oblicz współczynniki a oraz b w równaniu tej stycznej. Zapisz obliczenia.

Zadanie  (0-3) - matura poziom rozszerzony maj 2023, zadanie 3

2015

Funkcja f jest określona wzorem f(x)=\frac{3x^2-2x}{x^2+2x+8} dla każdej liczby rzeczywistej x. Punkt P=(x0, 3) należy do wykresu funkcji f.

Oblicz x0 oraz wyznacz równanie stycznej do wykresu funkcji f w punkcie P. Zapisz obliczenia.

Zadanie  (0-4) - matura poziom rozszerzony czerwiec 2025, zadanie 8

2023

Wielomian f zmiennej rzeczywistej x jest określony wzorem f(x)=x3+ax2+bx+c, gdzie a, b, c ∈ R. Liczba (−2) jest miejscem zerowym tego wielomianu. W kartezjańskim układzie współrzędnych (x, y) styczna do wykresu wielomianu f w punkcie A o pierwszej współrzędnej równej (−2) przecina ten wykres w punkcie P=(1, 9).

Wyznacz wzór wielomianu f. Zapisz obliczenia.

Zadanie  - egzamin wstępny na studia (Politechnika Gdańska) lipiec 1992, zadanie 6

EW

Różniczkując tożsamość

sin 2x = 2sin x cos x

wykazać tożsamość

cos 2x = cos² x − sin² x.

Zadanie  - egzamin wstępny na studia (Politechnika Gdańska) lipiec 1992, zadanie 7

EW

Obliczyć

Zadanie  - egzamin wstępny na studia (Politechnika Gdańska) lipiec 1992, zadanie 3

EW

Wykazać, że pole trójkąta ograniczonego osiami układu współrzędnych i dowolną styczną do hiperboli

jest równe 2a2.

Zadanie  - egzamin wstępny na studia (Politechnika Gdańska) lipiec 1992, zadanie 4

EW

Wysokość stożka jest x razy większa od promienia jego podstawy. Wyrazić stosunek promieni kul opisanej i wpisanej w ten stożek jako funkcję f(x) oraz obliczyć granicę.

Zadanie  - egzamin wstępny na studia (Politechnika Gdańska) lipiec 1991, zadanie 1

EW

Dana jest funkcja f(x) = sin24x. Rozwiązać równanie f′(x) = −2.

Zadanie  - egzamin wstępny na studia (Politechnika Gdańska) lipiec 1991, zadanie 7

EW

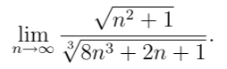
Obliczyć

Zadanie  - egzamin wstępny na studia (Politechnika Gdańska) lipiec 1991, zadanie 11

EW

Dla jakich wartości parametru k funkcja

będzie rosnąca w całej swojej dziedzinie?

Zadanie  - egzamin wstępny na studia (Politechnika Gdańska) lipiec 1991, zadanie 12

EW

Obliczyć

Zadanie  - egzamin wstępny na studia (Politechnika Gdańska) lipiec 1990, zadanie 4

EW

Obliczyć granicę

Zadanie  - egzamin wstępny na studia (Politechnika Gdańska) lipiec 1990, zadanie 6

EW

Obliczyć granice

Zadanie  - egzamin wstępny na studia (Politechnika Gdańska) lipiec 1990, zadanie 10

EW

Dla jakich wartości parametru k funkcja f(x) = x3−x2+kx będzie rosnąca w całym zbiorze liczb rzeczywistych?

Zadanie  - egzamin wstępny na studia (Politechnika Gdańska) lipiec 1990, zadanie 12

EW

W oparciu o definicję pochodnej obliczyć f′(1) dla funkcji

Zadanie  - egzamin wstępny na studia (Politechnika Gdańska) lipiec 1990, zadanie 14

EW

Napisać równanie stycznej do krzywej y=x3+x2+x+1 równoległej do prostej

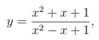
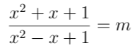
Zadanie  - egzamin wstępny na studia (Politechnika Gdańska) lipiec 1990, zadanie 1

EW

Zbadać przebieg zmienności funkcji

sporządzić jej wykres i na tej podstawie ustalić ile pierwiastków posiada równanie

w zależności od parametru m.




Dodaj komentarz

Twój adres e-mail nie zostanie opublikowany. Wymagane pola są oznaczone *

6 × 1 =