Zestaw zadań maturalnych z lat ubiegłych posegregowanych tematycznie. Temat przewodni zestawu - planimetria - poziom rozszerzony
Zadania maturalne: planimetria
|
Zadanie (0-1) - matura poziom rozszerzony czerwiec 2022, zadanie 4 |
2015 |
Pole trójkąta ostrokątnego o bokach 5 i 8 jest równe 12. Długość trzeciego boku tego trójkąta jest równa
A. 5
B. 8
C.
D.
|
Zadanie (0-3) - matura poziom rozszerzony czerwiec 2025, zadanie 4 |
2023 |
Dany jest prostokąt ABCD, w którym |AB|=2⋅|AD|. Na bokach AB, BC, CD oraz DA tego prostokąta obrano punkty – odpowiednio – K, L, M oraz N (przy czym każdy z tych punktów leży na dokładnie jednym boku prostokąta ABCD). Czworokąt KLMN jest trapezem prostokątnym (zobacz rysunek), a wysokość LM tego trapezu jest równoległa do przekątnej BD prostokąta.

Wykaż, że stosunek pola trójkąta MDN do pola trójkąta KBL jest równy 16.
|
Zadanie (0-3) - matura poziom rozszerzony maj 2025, zadanie 3 |
2023 |
W trójkącie równobocznym ABC punkt D leży na boku BC. Stosunek pola trójkąta ABD do pola trójkąta ADC jest równy
.
Oblicz miarę kąta DAC. Zapisz obliczenia.
|
Zadanie (0-3) - matura poziom rozszerzony czerwiec 2024, zadanie 6 |
2015 |
Długości podstaw trapezu równoramiennego są równe a oraz b, przy czym a>b. W ten trapez można wpisać okrąg.
Wykaż, że pole tego trapezu jest większe od a⋅b.
|
Zadanie (0-3) - Zadania sprawdzające – poziom rozszerzony, zadanie 26 |
2023 |
Trójkąt ABC, w którym |AC|=|BC|, jest wpisany w okrąg o promieniu R. Środek tego okręgu leży wewnątrz trójkąta ABC. Niech x oznacza odległość środka okręgu od podstawy AB.
Wykaż, że pole trójkąta ABC jako funkcja zmiennej x jest określone wzorem
. Określ dziedzinę tej funkcji.
|
Zadanie (0-3) - matura poziom rozszerzony czerwiec 2022, zadanie 9 |
2015 |
W trapezie ABCD o podstawach AB i CD przez punkt O przecięcia się przekątnych poprowadzono dwie proste równoległe do boków BC i AD. Prosta równoległa do boku BC przecina bok AB w punkcie B′, a prosta równoległa do boku AD przecina bok AB w punkcie A′. Wykaż, że |AA′|=|BB′|.
|
Zadanie (0-3) - matura poziom rozszerzony maj 2022, zadanie 9 |
2015 |
Punkt P jest punktem przecięcia przekątnych trapezu ABCD. Długość podstawy CD jest o 2 mniejsza od długości podstawy AB. Promień okręgu opisanego na trójkącie ostrokątnym CPD jest o 3 mniejszy od promienia okręgu opisanego na trójkącie APB.
Wykaż, że spełniony jest warunek 
|
Zadanie (0-3) - matura poziom rozszerzony czerwiec 2021, zadanie 7 |
2015 |
Dany jest trójkąt ABC. Na boku AB tego trójkąta obrano punkty D, E i F tak, że |AD|=|DE|=|EF|=2|FB|. Na bokach AC i BC obrano – odpowiednio – punkty G i H tak, że DG∥EC oraz FH∥EC (zobacz rysunek). Wykaż, że jeżeli pole trójkąta FBH jest równe S, to pole trójkąta ADG jest równe 3S.

|
Zadanie (0-3) - matura poziom rozszerzony maj 2021, zadanie 8 |
2015 |
Dany jest trójkąt równoboczny ABC. Na bokach AB i AC wybrano punkty – odpowiednio – D i E takie, że
. Odcinki CD i BE przecinają się w punkcie P (zobacz rysunek).

Wykaż, że pole trójkąta DBP jest 21 razy mniejsze od pola trójkąta ABC.
|
Zadanie (0-3) - matura poziom rozszerzony maj 2020, zadanie 7 |
2015 |
Dany jest trójkąt równoramienny ABC, w którym |AC|=|BC|=6, a punkt D jest środkiem podstawy AB. Okrąg o środku D jest styczny do prostej AC w punkcie M. Punkt K leży na boku AC, punkt L leży na boku BC, odcinek KL jest styczny do rozważanego okręgu oraz |KC|=|LC|=2 (zobacz rysunek).

Wykaż, że
.
|
Zadanie (0-3) - matura poziom rozszerzony czerwiec 2017, zadanie 8 |
2015 |
Miary kątów trójkąta ABC są równe α=|∢BAC|, β=|∢ABC| i γ=|∢ACB|. Punkt S jest środkiem okręgu wpisanego w ten trójkąt, a proste zawierające odcinki AS i BS przecinają boki BC i AC tego trójkąta w punktach odpowiednio D i E (zobacz rysunek).

Wykaż, że jeżeli α+β=2γ, to na czworokącie DCES można opisać okrąg.
|
Zadanie (0-3) - matura poziom rozszerzony czerwiec 2019, zadanie 8 |
2015 |
Dwusieczne kątów BAD i BCD czworokąta wypukłego ABCD przecinają się w punkcie E, przy czym punkty B i E leżą po przeciwnych stronach prostej AC (zobacz rysunek).

Wykaż, że .|∢ABC|−|∢ADC|+2⋅|∢AEC|=360°.
|
Zadanie 10 (0-3) - matura poziom rozszerzony maj 2011, zadanie 10 |
<2015 |
Dany jest czworokąt wypukły ABCD niebędący równoległobokiem. Punkty M, N są odpowiednio środkami boków AB i CD. Punkty P, Q są odpowiednio środkami przekątnych AC i BD. Uzasadnij, że MQ||PN.
|
Zadanie 9 (0-3) - matura poziom rozszerzony czerwiec 2011, zadanie 9 |
<2015 |
Przekątne trapezu ABCD przecinają się w punkcie P. Prosta równoległa do podstaw trapezu, przechodząca przez punkt P, przecina ramiona AD i BC odpowiednio w punktach M i N. Wykaż, że |MP|=|NP|.
|
Zadanie (0-4) - matura poziom rozszerzony czerwiec 2025, zadanie 7 |
2023 |
Na czworokącie wypukłym ABCD o bokach długości: |AB|=3, |BC|=3, |CD|=5 oraz |DA|=8, opisano okrąg.
Oblicz promień tego okręgu. Zapisz obliczenia.
|
Zadanie (0-4) - matura poziom rozszerzony maj 2025, zadanie 7 |
2023 |
W trapezie ABCD o podstawach AB i CD punkt E jest środkiem ramienia AD, a punkt F jest środkiem ramienia BC trapezu. Stosunek pola trapezu EFCD do pola trapezu ABFE jest równy
.
Wykaż, że
.
|
Zadanie (0-4) - matura poziom rozszerzony czerwiec 2024, zadanie 8 |
2015 |
W okrąg o promieniu 4 wpisano trójkąt ABC. Długość boku AB jest równa 6. Bok BC ma długość 4√3 i jest najdłuższym bokiem tego trójkąta.
Oblicz długość boku AC trójkąta ABC. Zapisz obliczenia.
|
Zadanie (0-4) - matura poziom rozszerzony maj 2024, zadanie 8 |
2015 |
Dany jest trójkąt ABC, który nie jest równoramienny. W tym trójkącie miara kąta ABC jest dwa razy większa od miary kąta BAC.
Wykaż, że długości boków tego trójkąta spełniają warunek
|AC|2=|BC|2+|AB|⋅|BC|
|
Zadanie (0-4) - matura poziom rozszerzony maj 2024, zadanie 9 |
2015 |
Dany jest kwadrat ABCD o boku długości a. Punkt E jest środkiem boku CD. Przekątna BD dzieli trójkąt ACE na dwie figury: AGF oraz CEFG (zobacz rysunek).

Oblicz pola figur AGF oraz CEFG. Zapisz obliczenia.
|
Zadanie (0-4) - test diagnostyczny poziom rozszerzony grudzień 2022, zadanie 6 |
2023 |
W trójkącie ABC poprowadzono dwusieczne kątów przecinające boki BC, AC i AB tego trójkąta w punktach – odpowiednio – K, L oraz M. Punkt P jest punktem przecięcia tych dwusiecznych. Na czworokątach CLPK oraz BKMP można opisać okrąg.
Udowodnij, że trójkąt ABC jest równoboczny.
|
Zadanie (0-4) - Zadania sprawdzające – poziom rozszerzony, zadanie 21 |
2023 |
W trapezie ABCD przekątna BD jest dwusieczną kąta CBA i przecina przekątną AC w punkcie K, takim, że |CK|:|KA|=1∶3. Pole tego trapezu jest równe 100(√6−√2),
, |AD| = 10 oraz kąt BAD jest ostry.
Oblicz długości pozostałych boków trapezu ABCD. Zapisz obliczenia
|
Zadanie (0-4) - matura poziom rozszerzony maj 2021, zadanie 13 |
2015 |
Dany jest trójkąt prostokątny ABC. Promień okręgu wpisanego w ten trójkąt jest pięć razy krótszy od przeciwprostokątnej tego trójkąta. Oblicz sinus tego z kątów ostrych trójkąta ABC, który ma większą miarę.
|
Zadanie (0-4) - matura poziom rozszerzony czerwiec 2019, zadanie 10 |
2015 |
Miara kąta wewnętrznego n-kąta foremnego jest o 2° mniejsza od miary kąta wewnętrznego (n+2)-kąta foremnego. Oblicz n.
|
Zadanie (0-4) - matura poziom rozszerzony czerwiec 2016, zadanie 14 |
2015 |
W trójkącie prostokątnym stosunek różnicy długości przyprostokątnych do długości przeciwprostokątnej jest równy
. Oblicz cosinusy kątów ostrych tego trójkąta.
|
Zadanie (0-4) - matura poziom rozszerzony czerwiec 2015, zadanie 11 |
2015 |
W trójkąt prostokątny o przyprostokątnych długości 15 i 20 wpisano okrąg. Oblicz długość odcinka łączącego wierzchołek kąta prostego tego trójkąta z punktem wspólnym okręgu i przeciwprostokątnej.
|
Zadanie (0-4) - matura poziom rozszerzony czerwiec 2015, zadanie 12 |
2015 |
Dany jest trójkąt ABC, w którym BC=a. Z wierzchołka B poprowadzono środkową BD do boku AC. Punkt S jest środkiem odcinka BD. Przez punkty A i S poprowadzono prostą, która przecięła bok BC w punkcie P. Wykaż, że długość odcinka CP jest równa
.
|
Zadanie 2 (0-4) - matura poziom rozszerzony maj 2013, zadanie 2 |
<2015 |
Trapez równoramienny ABCD o podstawach AB i CD jest opisany na okręgu o promieniu r. Wykaż, że 4r² = |AB|·|CD|.
|
Zadanie 5 (0-4) - matura poziom rozszerzony czerwiec 2011, zadanie 5 |
<2015 |
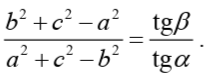
Dany jest trójkąt ostrokątny ABC o bokach długości a, b, c i kątach α, β, γ (zobacz rysunek). Wykaż, że


|
Zadanie 7 (0-4) - matura poziom rozszerzony czerwiec 2011, zadanie 7 |
<2015 |
Dany jest trójkąt ostrokątny ABC, w którym |AC|=5 i |AB|=8. Pole tego trójkąta jest równe 10√3. Oblicz promień okręgu opisanego na tym trójkącie.
|
Zadanie 6 (0-4) - matura poziom rozszerzony maj 2011, zadanie 6 |
<2015 |
Podstawa AB trójkąta równoramiennego ABC ma długość 8 oraz |∢BAC|=30°. Oblicz długość środkowej AD tego trójkąta.
|
Zadanie 9 (0-4) - matura poziom rozszerzony maj 2010, zadanie 9 |
<2015 |
Na bokach BC i CD równoległoboku ABCD zbudowano kwadraty CDEF i BCGH (zobacz rysunek). Udowodnij, że |AC|=|FG|.

|
Zadanie (0-5) - matura poziom rozszerzony czerwiec 2021, zadanie 14 |
2015 |
Na okręgu jest opisany czworokąt ABCD. Bok AD tego czworokąta jest dwa razy dłuższy od boku AB, a przekątna BD ma długość równą 6. Ponadto spełnione są następujące warunki:
Oblicz długość boku BC tego czworokąta.
|
Zadanie 10 (0-5) - matura poziom rozszerzony czerwiec 2011, zadanie 10 |
<2015 |
Dany jest kwadrat ABCD o boku równym 2. Na bokach BC i CD wybrano odpowiednio punkty E i F, różne od wierzchołków kwadratu, takie że |CE|=|DF|=x. Oblicz wartość x, dla której pole trójkąta AEF jest najmniejsze i oblicz to pole.
|
Zadanie (0-6) - test diagnostyczny poziom rozszerzony grudzień 2022, zadanie 11 |
2023 |
Dany jest trapez ABCD o podstawach AB i CD, w którym |AB|>|CD| oraz ramię BC ma długość 6. Na tym trapezie opisano okrąg o promieniu R=5. Miary kątów BAC i ABC tego trapezu spełniają warunek
Oblicz pole i obwód trapezu ABCD.
Zapisz obliczenia.
|
Zadanie (0-6) - Zadania sprawdzające – poziom rozszerzony, zadanie 20 |
2023 |
W pewien okrąg wpisano czworokąt ABCD taki, że |AB|=10, |CD|=6 oraz |BC|=|BD|. Styczna do tego okręgu w punkcie C tworzy z bokiem CD kąt ɑ o mierze 30° (zobacz rysunek).

Oblicz pole czworokąta ABCD. Zapisz obliczenia.
|
Zadanie (0-6) - Zadania sprawdzające – poziom rozszerzony, zadanie 22 |
2023 |
Punkt D leży wewnątrz trójkąta ABC. Prosta przechodząca przez punkt D i równoległa do boku AC przecina bok AB w punkcie K, a bok BC w punkcie L. Prosta przechodząca przez punkt D i równoległa do boku BC przecina bok AB w punkcie M, a bok AC w punkcie N (zobacz rysunek). Stosunek obwodu trójkąta KMD do obwodu trójkąta KBL jest równy 5∶7, a stosunek obwodu trójkąta KMD do obwodu trójkąta AMN jest równy 5∶8. Pole czworokąta DLCN jest równe 15.

Oblicz pole trójkąta ABC. Zapisz obliczenia.
|
Zadanie 14 (0-6) - matura poziom rozszerzony czerwiec 2017, zadanie 14 |
<2015 |
Trapez równoramienny ABCD o ramieniu długości 6 wpisany jest w okrąg, przy czym dłuższa podstawa AB trapezu, o długości 12, jest średnicą tego okręgu. Przekątne AC i BD trapezu przecinają się w punkcie P. Oblicz pole koła wpisanego w trójkąt ABP.
|
Zadanie - egzamin wstępny na studia (Politechnika Wrocławska), 2011, zadanie 7 |
EW |
Bok trójkąta równobocznego ABC ma długość 1. Na bokach AB, BC i CA obrano odpowiednio punkty E, F, G tak, że |BF| = 2|AE| i |CG| = 3|AE|. Dla jakiej wartości x = |AE| pole trójkąta EFG jest najmniejsze?
|
Zadanie - egzamin wstępny na studia (Politechnika Wrocławska), 2011, zadanie 9 |
EW |
Pole deltoidu wpisanego w okrąg o promieniu r równe jest r2. Wyznaczyć kąty tego deltoidu. Sporządzić rysunek.
|
Zadanie - egzamin wstępny na studia (Politechnika Wrocławska), 2021, zadanie 3 |
EW |
W trójkącie ABC na boku AB dany jest punkt D. Trójkąt ADC jest równoboczny i ma pole dwa razy większe niż trójkąt DBC. Wyznacz cosinus kąta przy wierzchołku B. Sporządź rysunek.
Strona https://oblicz.com.pl/arkusz-maturalny-planimetria/ to źródło informacji dla uczniów, którzy przygotowują się do matury z planimetrii. Zawiera ona bogaty zbiór arkuszy maturalnych z planimetrii, które pomagają w ćwiczeniu i utrwaleniu wiedzy z tego przedmiotu.
Na stronie można znaleźć arkusze maturalne z różnych lat, co umożliwia porównanie wymagań i sprawdzenie swoich umiejętności w kontekście różnych poziomów trudności.
