Egzamin gimnazjalny 2018 mat.- z. 20: Pole podstawy walca jest równe 36...

Egzamin gimnazjalny 2018 mat.- z. 20: Pole podstawy walca jest równe 36...

Zadanie 20 (0-1)

Pole podstawy walca jest równe 36π, a pole jego powierzchni bocznej jest 3 razy większe niż pole podstawy.

Dokończ zdanie. Wybierz właściwą odpowiedź spośród podanych.

Wysokość tego walca jest równa

A. 3

B. 6

C. 9

D. 18

Źródło CKE - Arkusz ezgaminacyjny 2017/2018



Analiza:

"Zapraszam do walca" - powiedział kiedyś Szymon Majewski w reklamie pewnej sieci komórkowej ...

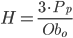
Wysokość walca możemy wyznaczyć z równania:

.

Wyznaczmy stąd H :

.

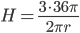
Pole powierzchni bocznej jest trzy razy większe od pola podstawy:

Podstawmy do wzoru na H :

W powyższym wzorze brakuje nam r , a to wyliczymy z pola podstawy:

Podstawiając równania obliczony promień otrzymamy szukaną wysokość:

Odpowiedź:

A. 3

B. 6

C. 9

D. 18

Egzaminy gimnazjalne

Egzamin gimnazjalny 2018


Zadanie z analizą i odpowiedzią

Egzamin gimnazjalny 2017


Zadanie z analizą i odpowiedzią

Egzamin gimnazjalny 2016


Zadanie z analizą i odpowiedzią

Egzaminy gimnazjalne - archiwum

2015


Zadanie bez odpowiedzi i bez analizy


Zadanie z odpowiedzią bez analizy


Zadanie z analizą i odpowiedzią

Dołącz do grupy na FB

W prezencie od Mikołaja uruchamiamy grupę :). Chcesz mieć wpływ na to co i kiedy pojawia się na obliczu matematyki? Dołącz do grupy zamkniętej, Szczegóły na grupie
Wystartowaliśmy 26.12.2018.

Egzamin gimnazjalny 2019

Zadania z egzaminu gimnazjalnego 2019.



Zadanie z analizą i odpowiedzią

Zadanie z odpowiedzią bez analizy



Dodaj komentarz

Twój adres e-mail nie zostanie opublikowany. Wymagane pola są oznaczone *

96 ÷ 16 =